Judul : Teorema Phytagoras
link : Teorema Phytagoras
Teorema Phytagoras
Teorema phytagoras selalu berkaitan dengan segitiga siku-siku. Teorema phytagoras menyatakan bahwa sisi miring kuadrat sama dengan jumlah sisi kuadrat yang lainnya. Sisi miring pada segitiga siku-siku merupakan sisi terpanjang, sisi terpanjang ini disebut dengan hipotenusa. Untuk membuktikan teorema ini benar, mula kita gambar segitiga siku-sikut kemudian buatlah persegi dengan menggunakan sisi-sisi segitiga siku-siku tersebut. Bila digambarkan maka hasilnya akan seperti berikut.
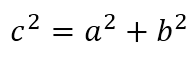
Bila panjang sisi miring kuadrat, maka sisi miring kuadrat merupakan luas persegi terbesar dari persegi yang tergambar di atas. Maka dengan alasan tersebut terbukti jelas bahwa teorema phytagoras merupakan suatu kepastian. Secara matematis ketiga sisi segitga siku-siku ini dapat dicari dengan menggunakan persamaan berikut.
Persamaan tersebut dikatakan benar senadainya c merupakan hipotenusa (sisi terpanjang).
Demikianlah Artikel Teorema Phytagoras
Sekianlah artikel Teorema Phytagoras kali ini, mudah-mudahan bisa memberi manfaat untuk anda semua. baiklah, sampai jumpa di postingan artikel lainnya.
Anda sekarang membaca artikel Teorema Phytagoras dengan alamat link https://woukeh.blogspot.com/2016/03/teorema-phytagoras.html


